Warta Industri

Solusi Berbasis Cyclodextrin kanggo Kelarutan lan Peningkatan Stabilitas

2025-12-23 - Ninggalake kula pesen

Solusi Berbasis Cyclodextrin kanggo Kelarutan lan Peningkatan Stabilitas

Ringkesan Teknis Hydroxypropyl Betadex lan Betadex Sulfobutyl Ether Sodium

Cyclodextrins diakoni sacara umum amarga kemampuane ningkatake kelarutan lan stabilitas senyawa sing ora larut utawa sensitif kimia. Amarga struktur molekul siklik sing unik, siklodekstrin lan turunane wis dadi eksipien fungsional sing penting ing bidang farmasi, kimia, lan formulasi sing gegandhengan. Nanggepi nambah syarat teknis lan peraturan, Xi'an Deli Biochemical luwih nyempurnakake dokumentasi teknis lan dhukungan produk kanggo turunan cyclodextrin utama:hydroxypropyl betadex (HPBCD) lan betadex sulfobutyl ether sodium (SBECD).


Karakteristik Struktural lan Kinerja Fungsional saka Cyclodextrins

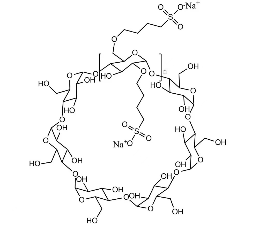
Siklodekstrin yaiku oligosakarida siklik sing kasusun saka unit glukosa sing disambungake karo ikatan glikosidik α-1,4. Arsitèktur molekulé duwé permukaan njaba hidrofilik lan rongga internal sing relatif hidrofobik, saéngga bisa mbentuk kompleks inklusi kanthi macem-macem molekul tamu. Modifikasi kimia saka struktur cyclodextrin bisa ningkatake kelarutan banyu lan nggedhekake versatility aplikasi.


Hydroxypropyl Betadex (HPBCD)


Hydroxypropyl betadex yaiku β-siklodekstrin sing dimodifikasi kanthi kimia sing dirancang kanggo ngatasi kelarutan winates saka siklodekstrin asli. Kelarutan banyu sing luwih apik lan kompatibilitas sing cocog ndadekake HPBCD cocog kanggo aplikasi sing mbutuhake solubilisasi, stabilisasi, lan keluwesan formulasi sing efektif ing macem-macem sistem.


Betadex Sulfobutyl Ether Sodium (SBECD)


Betadex sulfobutyl ether sodium minangka turunan cyclodextrin anionik sing ditondoi dening substituen sulfobutil eter. Struktur iki ningkatake interaksi elektrostatik karo senyawa tartamtu, ndhukung kelarutan sing luwih apik, stabilitas kompleks, lan kekokohan formulasi ing aplikasi sing luwih nuntut.

Informasi Produk Standar lan Dhukungan Teknis

Kanggo ndhukung pangembangan formulasi, evaluasi kualitas, lan proses pengadaan sing luwih apik, Xi'an Deli Biochemical wis nganyari informasi produk kanthi sistematis kanggo HPBCD lan SBECD, kalebu:


  • Spesifikasi produk lan parameter analitik sing ditetepake kanthi jelas lan standar
  • Sertifikat Analisis Khusus (COA) kanggo njamin keterlacakan lan verifikasi kualitas
  • Pitakonan teknis sing ditambahi babagan penanganan, panyimpenan, lan pertimbangan aplikasi sing khas
  • Ringkesan produk sing dioptimalake dirancang kanggo nggampangake tinjauan lan pilihan teknis sing efisien


Perbaikan kasebut ditujokake kanggo nambah transparansi, nyuda garis wektu evaluasi, lan ndhukung kinerja produk sing konsisten sajrone siklus pasokan.


Pengalaman Manufaktur lan Jaminan Kualitas

Diadegake ing taun 1999, Xi'an Deli Biochemical nggawa pengalaman 26 taun ing manufaktur turunan siklodekstrin. Perusahaan fokus ing produksi kontrol hydroxypropyl betadex lan betadex sulfobutyl ether sodium, nandheske konsistensi proses, linuwih batch-to-batch, lan stabilitas pasokan jangka panjang. Praktek manajemen kualitas terstruktur ndhukung syarat teknis, peraturan, lan sumber pelanggan.


Lingkup Aplikasi lan Kolaborasi Teknis

Adhedhasar mekanisme inklusi lan stabilisasi cyclodextrin, HPBCD lan SBECD bisa ditrapake ing pirang-pirang lapangan teknis, kalebu formulasi sing gegandhengan karo farmasi, bahan kimia khusus, produk Veteriner, lan sistem liyane sing mbutuhake kelarutan lan stabilitas sing luwih apik. Xi'an Deli Biochemical terus melu karo mitra liwat komunikasi fokus aplikasi lan kolaborasi teknis kanggo ndhukung kabutuhan formulasi sing berkembang.


Babagan Perusahaan Industri Biokimia Xi'an Deli

Didegake ing taun 1999, Perusahaan Industri Biokimia Xi'an Deli minangka pabrikan khusus turunan siklodekstrin, nyedhiyakake hydroxypropyl betadex (HPBCD) lan betadex sulfobutyl ether sodium (SBECD) kanggo pelanggan global. Kanthi fokus sing wis suwe ing konsistensi produk, spesifikasi sing jelas, lan dhukungan teknis praktis, perusahaan tetep setya nyedhiyakake solusi berbasis cyclodextrin sing dipercaya.


Yen sampeyan pengin, aku uga bisa:


  • Luwih ngoptimalake iki kanggo Google SEO (tanpa nyuda nada teknis)
  • Condense menyang kaca produk "Update Teknis" versi
  • Adaptasi kanggo pelanggan regulasi / fokus kualitas


Cukup ngomong ngendi sampeyan arep nerbitake.


Kirim Pitakonan


icon
X
Kita nggunakake cookie kanggo menehi pengalaman browsing sing luwih apik, nganalisa lalu lintas situs lan nggawe konten pribadi. Kanthi nggunakake situs iki, sampeyan setuju kanggo nggunakake cookie. Kebijakan Privasi
nolak Nampa