Sulfobutyl Ether Beta Cyclodextrin Powder Injectable Grade Pharmaceutical Excipient
  • Sulfobutyl Ether Beta Cyclodextrin Powder Injectable Grade Pharmaceutical Excipient Sulfobutyl Ether Beta Cyclodextrin Powder Injectable Grade Pharmaceutical Excipient
  • Sulfobutyl Ether Beta Cyclodextrin Powder Injectable Grade Pharmaceutical Excipient Sulfobutyl Ether Beta Cyclodextrin Powder Injectable Grade Pharmaceutical Excipient

Sulfobutyl Ether Beta Cyclodextrin Powder Injectable Grade Pharmaceutical Excipient

Sulfobutyl Ether Beta Cyclodextrin Powder Injectable Grade Pharmaceutical Excipient
Jeneng produk: Betadex Sulfobutyl Ether Sodium
Nomer CAS: 182410-00-0
Standar Pharmacopeial: EP lan USP
Penampilan: bubuk amorf putih nganti putih-putih
Assay: ≥99.0%
Aplikasi: formulasi farmasi injeksi lan parenteral
Kemasan: 500 g / tas; 1 kg / tas; 10 kg / tas; 10 kg/drum; kemasan khusus kasedhiya

Kirim Pitakonan

Deskripsi Produk

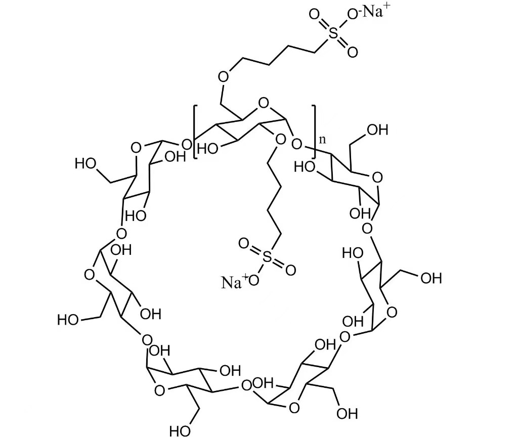
Sulfobutyl Ether Beta Cyclodextrin Powder Injectable Grade Pharmaceutical Excipient(CAS 182410-00-0) minangka turunan β-siklodekstrin anionik sing larut banget ing banyu sing dikembangake khusus kanggo formulasi farmasi sing bisa disuntikake. Fungsi SBECD minangka solubilizer, wetting agent, chelating agent, lan masking agent, nambah kelarutan, stabilitas, lan safety saka API sing ora larut.

Eksipien kelas suntik iki cocok kanggo pangiriman obat intravena, intramuskular, lan subkutan. SBECD nyuda keracunan ginjel, nyilikake hemolisis, nyetabilake API sing ngemot nitrogen, lan mbisakake release kontrol nalika masking ambu ora enak tamba.

Pambuka perusahaan

Xi'an DELI Biochemical Industry Co., Ltd.didegaké ing taun 1999 lan duwe pengalaman luwih saka 26 taun ing riset, produksi, lan komersialisasi turunan cyclodextrin. Produk inti kalebuSulfobutyl Ether Beta Cyclodextrin (SBECD)lanHydroxypropyl Betadex (HPBCD). DELI nyedhiyakake produk kemurnian dhuwur, konsisten, lan tundhuk karo peraturan kanggo pasar farmasi global.

DELI ngoperasikake jalur produksi canggih lan sistem kontrol kualitas khusus kanggo njamin konsistensi batch-to-batch. COA, dokumentasi teknis, lan dhukungan formulasi kasedhiya kanggo mbantu R&D, pangembangan klinis, lan produksi komersial ing saindenging jagad.



Spesifikasi Produk


Nomer CAS: 182410-00-0
Formula Molekul: C42H70-nO35·(C4H8SO3Na)n
Grade: Suntik, EP lan USP tundhuk
Penampilan: bubuk amorf putih nganti putih-putih
Assay: ≥99.0%
Aplikasi: formulasi farmasi injeksi lan parenteral
Kemasan: 500g/bag; 1 kg / tas; 10 kg / tas; 10 kg/drum; kemasan khusus kasedhiya
Panyimpenan: Ditutup lan garing
Umur beting: 36 sasi
COA / Jaminan Mutu:Saben batch dites kanggo kemurnian assay, endotoksin bakteri, sisa pelarut, logam abot, lan tingkat substitusi rata-rata (DS), ketemu standar USP lan EP.


Aplikasi Produk

SBECD digunakake kanggo nambah kelarutan, stabilitas, lan safety saka API suntik. Iki ditrapake ing obat suntik antijamur, antivirus, kardiovaskular, lan onkologi. SBECD mbentuk kompleks inklusi kanthi obat sing ngemot nitrogen, nyedhiyakake rilis sing dikontrol lan nyuda keracunan.


  • Produk sing dipasarake sing misuwur kalebu:
  • Remdesivir
  • Mephalan Hydrochloride Injection
  • Injeksi Posaconazole
  • Cilasirone Mesylate
  • Injeksi Vorikonazol



FAQ

P: Apa Xi'an DELI Biochemical pabrikan SBECD?
A: Ya, DELI ngasilake Sulfobutyl Ether Beta Cyclodextrin (SBECD) lan Hydroxypropyl Betadex (HPBCD). Beta Cyclodextrin minangka bahan baku kanggo turunan.

Q: Apa conto kasedhiya?
A: Ya, conto SBECD kasedhiya kanggo evaluasi.

Q: Apa batch lan kapasitas produksi taunan?
A: kapasitas produksi kumpulan punika 2,5 ton; output taunan ngluwihi 200 ton.

P: Apa dokumen peraturan sing diwenehake?
A: COA, MSDS, data stabilitas, lan dokumen teknis kasedhiya.

Q: Pilihan pengiriman?
A: Pengiriman global liwat udara, segara, utawa kurir ekspres.


Pitakonan & Dhukungan Teknis

Hubungi Xi'an DELI Biokimia kanggo njaluk conto, dokumentasi teknis, utawa kutipanSulfobutyl Ether Beta Cyclodextrin Powder Injectable Grade Pharmaceutical Excipient. Tim kita ndhukung pangembangan formulasi kanthi sumber sing dipercaya lan keahlian profesional.


SBECD Packaging


Hot Tags: Sulfobutyl Ether Beta Cyclodextrin Powder Injectable Grade Pharmaceutical Excipient, Produsen, Supplier, China, Pabrik, akeh, Sampel Gratis, Made in China, Ing Simpenan, Grosir, Tuku

Kategori sing gegandhengan

Kirim Pitakonan

Mangga bebas menehi pitakon ing formulir ing ngisor iki. Kita bakal mangsuli sampeyan ing 24 jam.
icon
X
Kita nggunakake cookie kanggo menehi pengalaman browsing sing luwih apik, nganalisa lalu lintas situs lan nggawe konten pribadi. Kanthi nggunakake situs iki, sampeyan setuju kanggo nggunakake cookie. Kebijakan Privasi
nolak Nampa