CAS 182410-00-0 Sulfobutylether Beta Siklodekstrin Sodium

CAS 182410-00-0 Sulfobutylether Beta Siklodekstrin Sodium

CAS 182410-00-0 Sulfobutylether Beta Cyclodextrin Sodium minangka turunan cyclodextrin lan eksipien farmasi anyar saka China DELI.

Kirim Pitakonan

Deskripsi Produk

CAS 182410-00-0 Sulfobutylether Beta Siklodekstrin Sodium

CAS 182410-00-0 Sulfobutylether Beta Siklodekstrin Sodium

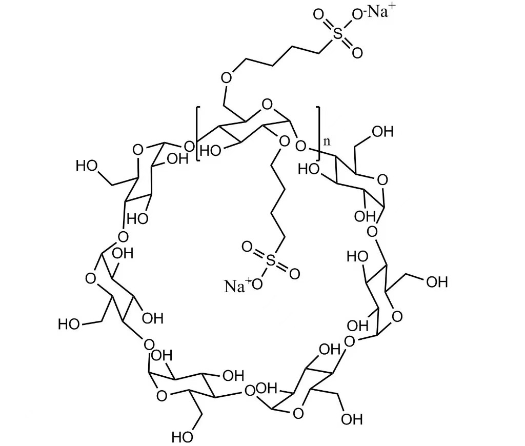
Sulfobutylether Beta Cyclodextrin Sodium (SBECD) minangka turunan β-siklodekstrin anionik sing larut banget ing banyu sing dikembangake minangka eksipien farmasi kanggo sistem pangiriman obat injeksi lan parenteral. Liwat pembentukan kompleks inklusi non-kovalen kanthi bahan farmasi aktif (API), SBECD sacara signifikan ningkatake kelarutan, stabilitas, lan keamanan formulasi obat sing ora larut ing banyu.

Kanthi biokompatibilitas sing apik, aktivitas hemolitik sing kurang, lan keracunan sing dikontrol, Sulfobutylether Beta Cyclodextrin Sodium wis dadi eksipien sing ditampa sacara wiyar ing formulasi farmasi modern, utamane ing terapi antivirus, antijamur, onkologi, lan kardiovaskular.

Informasi Produk dhasar

Sulfobutylether Beta Cyclodextrin Sodium katon minangka bubuk amorf putih nganti putih lan larut kanthi bebas ing banyu. Prodhuk diwenehake minangka bahan injeksi lan diprodhuksi miturut USP, EP, lan standar perusahaan sing cocog, njamin kesesuaian kanggo aplikasi farmasi sing diatur.

Formula Molekul: C42H70-nO35· (C4H8SO3na)n
kelas:Kelas injeksi
Area Aplikasi:Formulasi farmasi

Karakteristik Kimia & Fungsional

SBECD minangka turunan anionik saka betadex, ing ngendi gugus eter sulfobutil dikenalaké ing struktur β-cyclodextrin. Modifikasi kimia iki nambah banget kelarutan banyu lan mbisakake pambentukan kompleks inklusi sing stabil nanging bisa dibalik karo molekul obat.

Secara fungsional, Sulfobutylether Beta Cyclodextrin Sodium tumindak minangka pelarut, stabilisator, lan modulator pelepasan obat, ningkatake kinerja formulasi tanpa ngowahi bahan aktif kanthi kimia.

Manfaat Utama

Ing formulasi pharmaceutical, SBECD sacara signifikan ningkatake kelarutan banyu saka API sing ora larut lan nambah stabilitas kimia lan fisik. Dibandhingake karo agen solubilizing konvensional, nuduhake keracunan ginjel, potensial hemolitik minimal, lan iritasi ing situs injeksi.

SBECD uga ndhukung bioavailabilitas sing konsisten, release obat sing dikontrol, lan, yen ditrapake, masking efektif saka ambu ora enak utawa rasa API.

Aplikasi Farmasi

Sulfobutylether Beta Cyclodextrin Sodium utamane digunakake ing bentuk dosis parenteral, kalebu injeksi intravena, intramuskular, lan subkutan. Uga cocog kanggo solusi ophthalmic, formulasi irung, lan sistem pangiriman obat khusus sing mbutuhake kelarutan lan stabilitas sing luwih apik.

Produk kasebut akeh digunakake ing formulasi obat antivirus, antijamur, onkologi, kardiovaskular, lan sistem saraf pusat.

Pengalaman Obat Dipasarake

SBECD wis kasil diterapake ing sawetara produk suntik sing dipasarake kanthi komersial, nuduhake safety lan kinerja sing wis kabukten. Aplikasi perwakilan kalebu injeksi remdesivir, injeksi vorikonazol, injeksi posaconazole, melphalan hydrochloride kanggo injeksi, lan injeksi ziprasidone mesylate.

Spesifikasi Kualitas Khas

Produk injeksi-bahan nyukupi syarat kontrol kualitas sing ketat. Nilai Assay dikontrol antarane 95,0% lan 105,0% kanthi basis anhidrat, kanthi tingkat substitusi rata-rata biasane saka 6,2 nganti 6,9. Kotoran, sisa betadex, lan uyah anorganik diwatesi.

Tingkat endotoksin bakteri tundhuk karo syarat panggunaan parenteral, lan watesan mikroba sesuai karo standar USP. Kejelasan solusi lan profil najis dipantau miturut metode pharmacopeial. Saben batch diwenehake karo Certificate of Analysis (COA) lengkap.

Pambuka perusahaan

Xi'an Deli Biochemical Industry Co., Ltd. minangka perusahaan teknologi dhuwur sing duwe spesialisasi ing riset, pangembangan, produksi, lan dodolan siklodekstrin lan turunane. Madeg ing taun 1999, perusahaan duwe pengalaman luwih saka 26 taun ing manufaktur eksipien farmasi.

Perusahaan iki ngoperasikake fasilitas produksi modern sing ana ing Distrik Lintong, Xi'an, sing jembaré kurang luwih 17,8 mu. Produk inti kalebu merek DELI Hydroxypropyl Betadex lan Betadex Sulfobutyl Ether Sodium, loro-lorone wis kadhaptar lan diajukake menyang FDA.

Kanthi kapasitas produksi taunan 500 metrik ton Hydroxypropyl Betadex lan 200 metrik ton Sulfobutylether Beta Cyclodextrin Sodium, Xi'an Deli Biochemical nyedhiyakake pasokan sing bisa dipercaya lan skala gedhe kanggo pelanggan farmasi ing saindenging jagad.

Jaminan Kualitas & Kapabilitas Manufaktur

Xi'an Deli Biochemical beroperasi miturut sistem manajemen mutu sing disertifikasi ISO 9001 lan dilengkapi instrumen analitis canggih kayata HPLC, GC, kromatografi ion, elektroforesis kapiler, lan FTIR. Kontrol kualitas sing ketat ditrapake saka bahan mentah nganti produk rampung, njamin konsistensi batch-to-batch sing apik.

Packaging, Panyimpenan & Shelf Life

Produk kasedhiya ing pilihan kemasan 500 g, 1 kg, lan 10 kg. Sulfobutylether Beta Cyclodextrin Sodium kudu disimpen ing papan sing adhem lan garing ing wadhah sing ditutup kanthi rapet lan dilindhungi saka kelembapan. Ing kahanan panyimpenan sing disaranake, umur simpan nganti 36 wulan.

Napa Pilih Xi'an Deli Biokimia

Kanthi keahlian manufaktur cyclodextrin puluhan taun, jalur produksi kelas suntik khusus, lan kinerja pasokan global sing wis kabukten, Xi'an Deli Biochemical minangka mitra sing dipercaya kanggo Sulfobutylether Beta Cyclodextrin Sodium. Perusahaan nawakake kualitas sing konsisten, kapasitas produksi sing bisa diukur, lan dhukungan teknis sing kuat kanggo pangembangan formulasi.

Hubungi Kita

Kanggo conto, data teknis, utawa kutipan kanggoCAS 182410-00-0 Sulfobutylether Beta Siklodekstrin Sodium, hubungi Xi'an Deli Biochemical Industry Co., Ltd.

Hot Tags: CAS 182410-00-0 Sulfobutylether Beta Cyclodextrin Sodium, Produsen, Pemasok, China, Pabrik, akeh, Sampel Gratis, Made in China, Ing Simpenan, Grosir, Tuku

Kategori sing gegandhengan

Kirim Pitakonan

Mangga bebas menehi pitakon ing formulir ing ngisor iki. Kita bakal mangsuli sampeyan ing 24 jam.
icon
X
Kita nggunakake cookie kanggo menehi pengalaman browsing sing luwih apik, nganalisa lalu lintas situs lan nggawe konten pribadi. Kanthi nggunakake situs iki, sampeyan setuju kanggo nggunakake cookie. Kebijakan Privasi
nolak Nampa