X
IMG
VIDEO

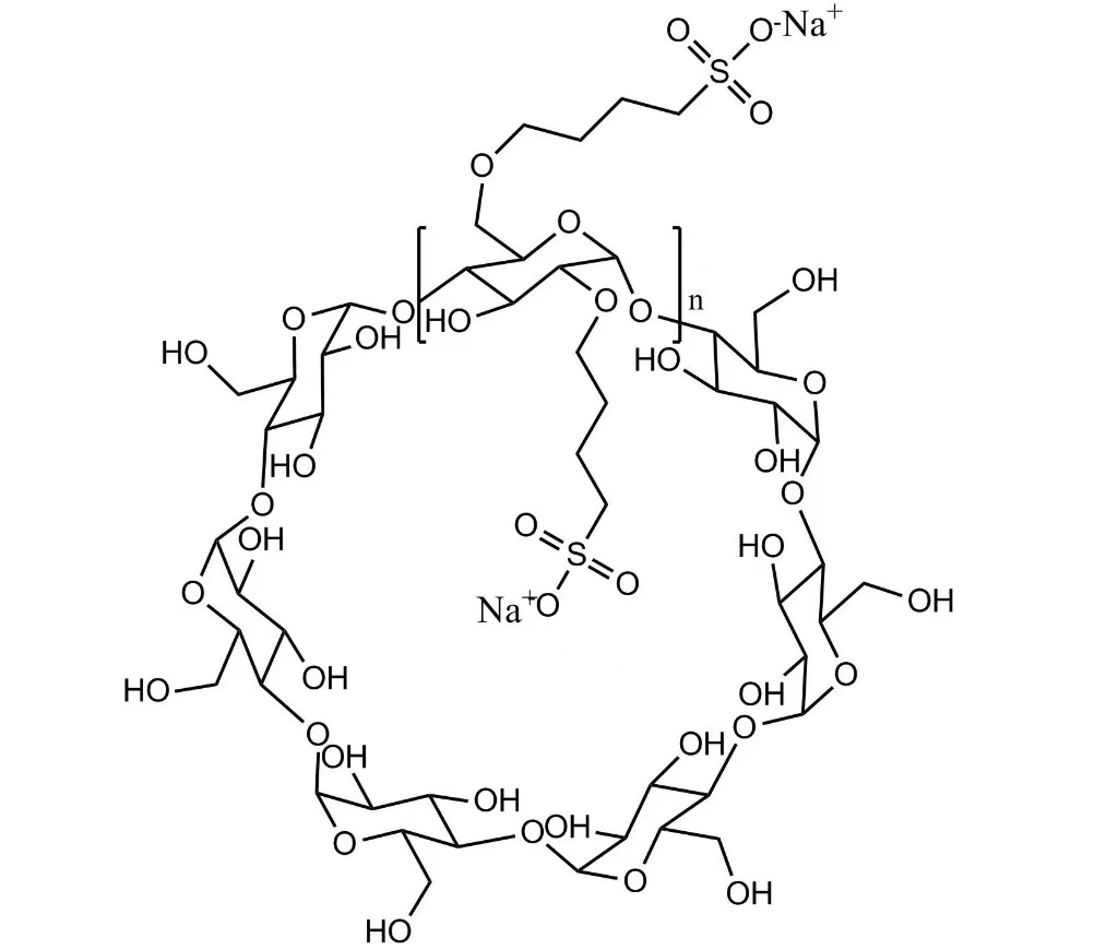
SBE-β-CD Sulfobutylether Beta Cyclodextrin Sodium Injectable Pharmaceutical Excipient

Grosir SBE-β-CD Sulfobutylether Beta Cyclodextrin Sodium Injectable Pharmaceutical Excipient digawe ing China saka DELI. SBE-β-CD (Sulfobutylether Beta Cyclodextrin Sodium) minangka eksipien farmasi suntik sing larut banget ing banyu sing digunakake kanggo ningkatake kelarutan, stabilitas, lan keamanan API sing ora larut liwat pambentukan kompleks inklusi sing bisa dibalik.

Kirim Pitakonan

Deskripsi Produk


SBE-β-CD Sulfobutylether Beta Cyclodextrin Sodium Injectable Pharmaceutical Excipient

SBE-β-CD (Sulfobutylether Beta Cyclodextrin Sodium) minangka turunan β-cyclodextrin anionik sing larut banget ing banyu sing dirancang kanggo aplikasi obat-obatan suntik. Iki mbentuk kompleks inklusi non-kovalen sing stabil kanthi bahan farmasi aktif (API), kanthi nyata ningkatake kelarutan, stabilitas, lan safety obat sing ora larut ing banyu.

Amarga biokompatibilitas sing apik banget, aktivitas hemolitik sing kurang, lan profil keracunan sing dikontrol, SBE-β-CD akeh digunakake ing sistem pangiriman obat parenteral ing pirang-pirang wilayah terapeutik.


Manfaat Utama


SBE-β-CD nambah kelarutan banyu saka API hidrofobik nalika njaga keamanan formulasi. Dibandhingake karo agen solubilizing tradisional, nuduhake keracunan ginjel suda lan iritasi ngisor ing situs injeksi, dadi cocok kanggo administrasi parenteral bola-bali.


Aplikasi Farmasi


SBE-β-CD utamane ditrapake ing formulasi injeksi lan steril, kalebu bentuk dosis intravena, intramuskular, lan subkutan. Biasane digunakake ing produk obat antivirus, antijamur, onkologi, lan kardiovaskuler, ing ngendi kelarutan dhuwur lan stabilitas formulasi kritis.


Spesifikasi Produk


Jeneng Kimia Sulfobutylether Beta Cyclodextrin Sodium
Nomer CAS 182410-00-0
Penampilan Wêdakakêna amorf putih nganti putih-putih
sasmita Eksipien Farmasi Injeksi
Kelarutan Bebas larut ing banyu
Assay 95,0% - 105,0% (basis anhidrat)
Gelar Pengganti Rata-rata (DS) 6.2 – 6.9
Endotoksin Bakteri ≤ 10 EU/g
Standar USP / EP
Urip beting 36 wulan


Spesifikasi Packaging


Pilihan kemasan sing kasedhiya kalebu 500 g / tas, 1 kg / tas, 10 kg / tas, lan 10 kg / drum. Kemasan khusus kasedhiya kanthi panyuwunan kanggo pasokan komersial.


Jaminan Mutu


Kabeh batch SBE-β-CD diprodhuksi miturut sistem manajemen kualitas sing ketat lan ngalami tes analitis sing komprehensif. Parameter kualitas utama kayata impurities, endotoksin, tingkat substitusi, lan konsistensi batch-to-batch dikontrol kanthi ketat.

Saben kiriman diiringi Certificate of Analysis (COA) kanggo mesthekake traceability lengkap lan selaras karo peraturan.


Kualifikasi & Sertifikasi Perusahaan


Xi'an Deli Biochemical Industry Co., Ltd. minangka perusahaan teknologi dhuwur sing duwe spesialisasi ing riset, pangembangan, lan pabrikan siklodekstrin lan turunane. Founded in 1999, perusahaan wis liwat 26 taun pengalaman industri.

Perusahaan ngoperasikake jalur produksi eksipien farmasi khusus kanthi wilayah manufaktur sing resik sing dikontrol. Sistem manajemen mutu wis lulus sertifikasi ISO 9001, lan produk inti didaftar utawa diajukake karo panguwasa peraturan sing relevan, kalebu FDA.


Kapabilitas Manufaktur


Xi'an Deli Biochemical wis nggawe kapasitas produksi komersial skala gedhe kanggo SBE-β-CD, njamin pasokan jangka panjang sing dipercaya kanggo pelanggan farmasi global.

Kapasitas produksi taunan ngluwihi 200 metrik ton, kanthi ukuran batch khas kira-kira 2,5 metrik ton.


FAQ

Q1: Apa fungsi utama SBE-β-CD ing formulasi injeksi?
A: SBE-β-CD utamané tumindak minangka solubilizer lan stabilizer, nambah kelarutan banyu lan safety saka API kurang larut banyu liwat pambentukan Komplek inklusi bisa dibalèkaké.


Q2: Apa SBE-β-CD cocok kanggo administrasi intravena bola-bali?
A: Nggih. SBE-β-CD nduduhake aktivitas hemolitik sing kurang lan keracunan ginjal sing suda dibandhingake karo agen pelarut tradisional, saengga cocok kanggo nggunakake parenteral bola-bali.


Q3: Apa produk sampeyan tundhuk karo standar pharmacopeial?
A: SBE-β-CD kita tundhuk karo syarat USP lan EP lan diprodhuksi miturut sistem manajemen kualitas sing disertifikasi.


Q4: Apa dokumentasi teknis bisa diwenehake?
A: Nggih. COA, spesifikasi, lan data teknis kasedhiya yen dijaluk.



Hot Tags: SBE-β-CD Sulfobutylether Beta Cyclodextrin Sodium Injectable Pharmaceutical Excipient, Produsen, Pemasok, China, Pabrik, akeh, Sampel Gratis, Made in China, Ing Simpenan, Grosir, Tuku

Kategori sing gegandhengan

Kirim Pitakonan

Mangga bebas menehi pitakon ing formulir ing ngisor iki. Kita bakal mangsuli sampeyan ing 24 jam.
icon
X
Kita nggunakake cookie kanggo menehi pengalaman browsing sing luwih apik, nganalisa lalu lintas situs lan nggawe konten pribadi. Kanthi nggunakake situs iki, sampeyan setuju kanggo nggunakake cookie. Kebijakan Privasi
nolak Nampa