USP Betadex Sulfobutyl Ether Sodium - solusi eksipien kanggo ningkatake kelarutan, stabilitas, lan bioavailabilitas formulasi obat sampeyan.
Nomer CAS: 182410-00-0
Kategori: Eksipien Farmasi
Fungsi: Solubilizer/Agen Kompleks/Peningkatan Bioavailability
Kelarutan: Bebas larut ing banyu
Aplikasi: formulasi injeksi; API sing ora bisa larut; Stabilisasi obat lan masking bau.
MOQ: 1 kg
OEM / ODM: kasedhiya
Apa Betadex Sulfobutyl Ether Sodium?
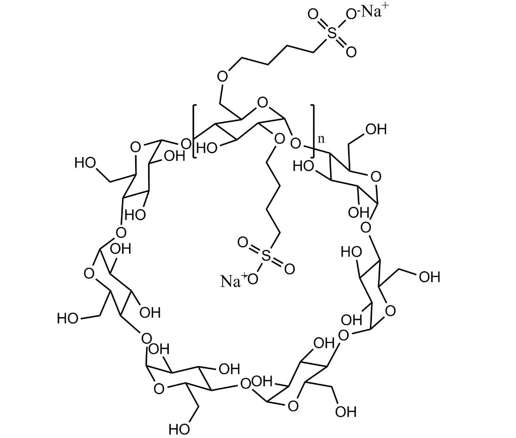
USP Betadex Sulfobutyl Ether Sodium (SBECD) minangka turunan siklodekstrin, eksipien larut banyu kanthi kemurnian dhuwur sing dirancang khusus kanggo formulasi farmasi injeksi lan parenteral. Ningkatake kelarutan, stabilitas, lan bioavailabilitas bahan farmasi aktif (API) sing ora larut ing banyu kanthi mbentuk kompleks inklusi sing stabil, njamin pangiriman obat sing dipercaya lan kinerja terapeutik sing konsisten.
SBECD cocok kanggo formulasi intravena, intramuskular, lan subkutan, nyegah udan, nyuda degradasi kimia, lan njaga stabilitas API sensitif. Uga cocog kanggo solusi ophthalmic, semprotan irung, lan formulasi cairan liyane sing mbutuhake kelarutan lan stabilitas sing luwih apik. Kelarutan banyu sing dhuwur, keracunan sing sithik, lan biokompatibilitas sing apik banget ndadekake eksipien sing disenengi kanggo riset, pangembangan klinis, lan produk suntik komersial.
Aplikasi lan Panggunaan Khas
Aplikasi:
USP Betadex Sulfobutyl Ether Sodium (SBECD) akeh digunakake minangka eksipien farmasi kanggo nambah kelarutan, stabilitas, lan bioavailabilitas obat sing ora larut ing banyu. Cocog kanggo formulasi injeksi, kalebu injeksi intravena, intramuskular, lan subkutan, uga solusi ophthalmic, semprotan irung, lan formulasi cairan liyane. SBECD bisa nyegah udan, nyuda degradasi kimia, lan nambah stabilitas API sensitif, dadi becik kanggo R&D, pangembangan klinis, lan produk pharmaceutical komersial.
Produk Obat Khas nggunakake SBECD:
Betadex Sulfobutyl Eter Sodium SBECD 182410-00-0Spesifikasi
jeneng produk
Betadex Sulfobutyl Eter Sodium
Jeneng liya
Sulfobutil eter β-siklodekstrin garam natrium
Spesifikasi
USP/EP/JP/ChP
kategori
Eksipien Farmasi
Wektu rak
36 wulan
MOQ
1 kg
Wektu Pangiriman
3-5 dina kerja
Paket
500 g / tas; 1 kg / tas; 10 kg/fibyaiku drum
Betadex Sulfobutyl Eter Sodium SBECDCOA

Kenapa Pilih Kita?
Xi'an Deli Biochemical Industry Co., Ltd. didegake ing taun 1999 lan minangka pabrikan profesional sing duwe spesialisasi ing eksipien farmasi siklodextrin. Kanthi pembangunan terus-terusan luwih saka 25 taun, kita wis mbangun keahlian teknis sing padhet lan sistem produksi stabil sing fokus ing turunan siklodekstrin sing berkualitas tinggi.
Produk inti kita kalebu Hydroxypropyl Betadex (HPβCD) lan Betadex Sulfobutyl Ether Sodium (SBE-β-CD), sing akeh digunakake ing formulasi farmasi, Veterinary, lan kimia kanggo solubilisasi, stabilisasi, masking bau, lan nambah bioavailabilitas bahan aktif sing ora larut. Kita njamin kemurnian batch-to-batch sing konsisten, kinerja sing dipercaya, lan dhukungan teknis kanggo pasar farmasi, Veterinar, lan kosmetik global. Data teknis sing rinci, sertifikat analisis (COA), lan evaluasi sampel kasedhiya kanggo nggampangake pangembangan formulasi lan ngoptimalake kinerja produk.
• Luwih saka 25 taun pengalaman manufaktur ing turunan cyclodextrin
• Kapasitas produksi stabil kanthi ukuran batch 2-3 metrik ton
• Output taunan nganti 200 metrik ton, njamin pasokan dipercaya
• Produk fokus: Hydroxypropyl Betadex lan Betadex Sulfobutyl Eter Sodium
• USP / EP / JP / ChP tundhuk, cocok kanggo pasar farmasi global
• Kualitas konsisten kanthi kontrol batch-to-batch sing ketat
• Pasokan fleksibel, MOQ saka 1 kg, ndhukung R&D kanggo produksi komersial
Kita setya nyedhiyakake kualitas stabil, pasokan sing dipercaya, lan dhukungan profesional kanggo mitra global kita.
R&D & Kekuwatan Teknis
Xi'an Deli Biochemical Industry Co., Ltd. duwe tim R&D ing omah lan sistem produksi lengkap, beroperasi ing model produksi lan penjualan langsung. Tim fokus ing inovasi eksipien lan dhukungan formulasi kanggo nyukupi kabutuhan pelanggan sing beda-beda.
Kabeh staf produksi nampa latihan GMP, lan laboratorium kita dilengkapi instrumen canggih kayata HPLC, GC, HPCE, IR, polarimeter, pH meter, meter konduktivitas, lan penganalisa kelembapan, njamin tes sing dipercaya lan kualitas produk sing konsisten.
Departemen Kualitas makarya kanthi rapet karo Bahan lan Produksi kanggo ngaudit pemasok, nahan conto, lan nindakake studi stabilitas, njaga eksipien bermutu saka R&D nganti rilis pasar.
Ing ngisor iki sampeyan bisa ndeleng gambar tim kita ing pameran internasional lan dokumen sertifikasi, nyorot kekuwatan teknis lan pangenalan industri.
FAQ
1. Apa sampeyan duwe pabrik?
Ya, kita pabrik karo 26 taun pengalaman, welcome kanggo ngunjungi pabrik kita. Yen sampeyan duwe jadwal rincian, please kindly kabari kula sadurunge.
2. Apa sampeyan duwe ISO lan DMF?
Ya, kita wis entuk ISO9001, DMF, Sertifikat Halal lan liya-liyane.
3. Apa wektu pangiriman sampeyan?
Minangka biasanipun, wektu pangiriman kita kira-kira 1 ~ 3 dina apa sawise nampa pembayaran, Nanging, kanggo sawetara produk khusus, please kindly konfirmasi karo sales manager ing advance.
4. Kepiye carane sampeyan bisa ngonfirmasi kualitas sampeyan?
Saben kumpulan barang bisa dikirim menyang sampeyan sawise pengawasan ketat, yen sampeyan isih mangu-mangu, kita bisa ngatur Sampel Pre-kiriman kanggo testing utawa kanggo pihak katelu nuding kanggo retesting ing advance, kasil, banjur kita bakal ngatur barang akeh kanggo sampeyan langsung.
5. Apa kapasitas produksi sampeyan?
Kapasitas produksi batch kita yaiku 2,5 ton, lan output taunan 200 ton.
Sulfobutyl Ether Beta Cyclodextrin Powder Injectable Grade Pharmaceutical Excipient
Betadex Sulfobutyl Eter Sodium CAS NO 182410-00-0
Sulfobutil Eter Beta Siklodekstrin Sodium
Betadex Sulfobutyl Eter Sodium Injection Grade
Betadex Sulfobutyl Ether Sodium SBECD Injectable Grade kanggo Formulasi Obat
Betadex Sulfobutyl Eter Sodium CAS 182410-00-0